#P15988. [PA 2026] 我们今天调试雪人吗?/ Zbugujemy dziś bałwana?

[PA 2026] 我们今天调试雪人吗?/ Zbugujemy dziś bałwana?

题目背景

警告:滥用本题评测,一次即可封号


「zbugujemy」(英语「bug」):制造故障/调试。

题目描述

今晚,Bajtogóra 降下了今年的第一场雪。作为这座城市的市长,你决定借助除雪的机会,堆一个巨大的雪人来庆祝这一时刻。城市中共有 nn 个路口,编号从 1 到 nn,由 n1n-1 条双向街道相连(死胡同的端点处也有路口)。从任意一个路口出发,均可沿街道到达任意其他路口。对于每条街道,已知它连接的两个路口以及它的长度。雪均匀地降落在各处,即长度为 ww 的道路上积了 ww 单位的雪。

雪人将由三个雪球组成,每个雪球通过沿某条简单路径滚雪而成。路径可以从某个路口或某条街道上的任意一点出发,经过若干不同的街道和路口,最终在某条街道上的任意一点或某个路口处结束。滚好的雪球将由直升机运至雪人的建造地点。

任意两条路径不能经过同一个点,否则会导致雪球沾上泥土。更确切地说,Bajtogóra 地图上的任意一点(尤其是路口)都不能成为两条不同路径的内部点。我们假设在开始或结束滚雪球的那个点处不收集雪,因此同一个点可以是多条路径的起点或终点(同时,路径也可以在另一条路径的内部点处开始或结束)。

你尚未决定雪人各部分的大小,因此还不清楚每个雪球需要多少雪。你正在考虑 qq 个潜在方案;每个方案由三个整数 aibicia_i \le b_i \le c_i 描述,表示各雪球的大小(从上到下)。

对于每个方案,判断能否按上述方式建造雪人。

输入格式

输入的第一行包含两个整数 nnqq2n200000, 1q2000002 \le n \le 200\,000,\ 1 \le q \le 200\,000),分别表示 Bajtogóra 的路口数量以及方案数量。

接下来 n1n-1 行,每行包含三个整数 ui,viu_i, v_iwiw_i1ui,vin; 1wi1091 \le u_i, v_i \le n;\ 1 \le w_i \le 10^9),描述一条连接路口 uiu_iviv_i 的街道,该街道上有 wiw_i 单位的雪。

接下来 qq 行,每行描述一个雪人方案,包含三个整数 ai,bi,cia_i, b_i, c_i1aibici10151 \le a_i \le b_i \le c_i \le 10^{15}),描述第 ii 个方案中各雪球的大小。

输出格式

输出共 qq 行;若第 ii 个方案可以建造雪人,则第 ii 行输出 TAK,否则输出 NIE

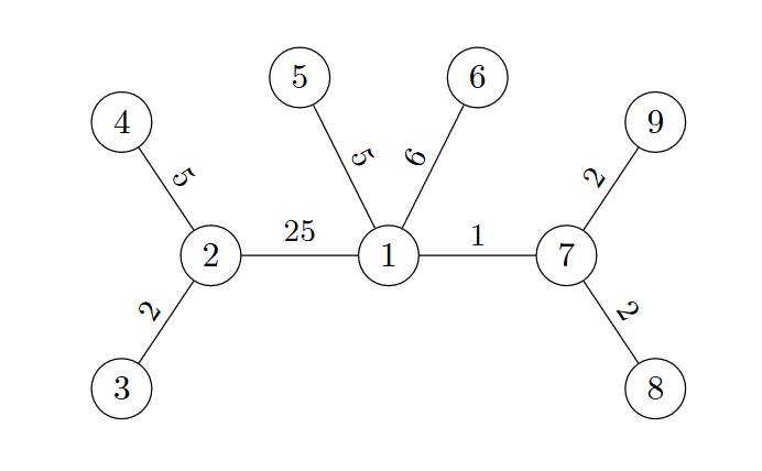
9 11
1 2 25
2 3 2
2 4 5
1 5 5
1 6 6
1 7 1
7 8 2
7 9 2
57 57 57
12 12 12
6 8 30
1 8 31
7 7 25
10 15 15
5 11 27
5 7 31
4 5 36
12 12 13
7 7 26
NIE
TAK
TAK
NIE
TAK
TAK
TAK
TAK
TAK
NIE
NIE

提示

样例解释

::::aligned{center} ::::

  • 第一个方案(雪球大小为 57,57,5757, 57, 57)无法实现。城市中的雪量不足以建造如此巨大的雪人。

  • 建造雪人 12,12,1212, 12, 12 可以使用如下路径:

    • 6126-1-2(最后一条街道部分使用),收集 6+6=126 + 6 = 12 单位的雪。
    • 4214-2-1(最后一条街道部分使用),收集 5+7=125 + 7 = 12 单位的雪。
    • 街道 121-2 的剩余部分还剩 2567=1225 - 6 - 7 = 12 单位的雪,足以建造第三个雪球。
  • 建造雪人 6,8,306, 8, 30 可以使用如下路径:

    • 161-6,收集 66 单位的雪。
    • 51785-1-7-8,收集 5+1+2=85 + 1 + 2 = 8 单位的雪。
    • 1241-2-4,收集 25+5=3025 + 5 = 30 单位的雪。

    注意路口 11 仅位于一条路径的内部,因此不会有雪球沾上泥土。

  • 建造雪人 1,8,311, 8, 31 无法使用如下路径:

    • 232-3
    • 5165-1-6
    • 71247-1-2-4

    尽管雪量足够,但有两条路径使用了路口 11 处的雪,这会导致其中一个雪球沾上泥土。

  • 建造雪人 7,7,257, 7, 25 可以使用如下路径:

    • 3243-2-4,收集 2+5=72 + 5 = 7 单位的雪。
    • 6176-1-7,收集 6+1=76 + 1 = 7 单位的雪。
    • 121-2,收集 2525 单位的雪。

子任务

各测试组按附加约束条件 nn 的值排序。在第 1 组中,wiw_i 的总和不超过 6060。在第 1、3 和 5 组中,有附加条件 q200q \le 200